贝叶斯网络与 PC 算法
Apr 26, 2021 · 15 min · machine learning , bayesian
把大三的时候在实验室摸鱼看贝叶斯网络和 PC 算法时写的笔记整理到这里来,免得哪天我换电脑时把笔记搞没了。
这里是当时写的 PC 算法的 Python 实现: Renovamen/pcalg-py
概率图模型
对于一个 维随机向量 ,一般难以直接建模。因为如果每个变量为离散变量并有 个可能取值,在不作任何独立性假设的前提下,需要 个参数才能表示其概率分布,参数数量会非常庞大。
一种减少参数数量的方法是独立性假设。把 的联合概率分解为 个条件概率的乘积:
为随机向量 的取值。可以看到,如果某些变量之间存在条件独立,参数数量就可以大幅减少。
因此,概率图模型(Probabilistic Graphical Model,PGM)用图结构来描述多元随机变量之间的条件独立关系,从而为研究高维空间中的概率模型带来了很大的便捷。
概率图模型中,每个节点表示一个(或一组)随机变量,边表示这些随机变量之间的概率依赖关系。常见的概率图模型可以分为有向图模型和无向图模型。
-
有向图模型(Directed Graphical Model),也称为贝叶斯网络(Bayesian Network)或信念网络(Belief Network),使用有向无环图(Directed Acyclic Graph,DAG)来描述变量之间的关系。如果两个节点之间有连边,表示这两个变量之间有因果关系,即不存在其他变量使得这两个变量条件独立。
-
无向图模型,也称为马尔可夫随机场(Markov Random Field,MRF),使用无向图来描述变量之间的关系。两个节点之间有连边代表这两个变量之间有概率依赖关系,但不一定是因果关系。

图片来源:《神经网络与深度学习》,邱锡鹏
本文只讨论有向图模型,即贝叶斯网络。
贝叶斯网络
定义
有向无环图 中,每个节点对应 维随机向量 中的一个变量,有向边 表示随机变量 和 之间具有因果关系,父节点 是『因』,子节点 是『果』,显然这两个点之间一定非条件独立。
令 为变量 的所有父节点变量集合, 表示每个随机变量的局部条件概率分布(Local Conditional Probability Distribution)。
如果 的联合概率分布可以分解为每个随机变量 的局部条件概率的连乘形式,即:
那么称 构成了一个贝叶斯网络。
局部马尔可夫性质
每个随机变量在给定父节点的情况下,条件独立于它的非后代节点:
其中 为 的非后代节点。
基本问题
-
学习问题
-
结构学习:那么怎样才可以获得这个神奇的有向无环图呢,这就是结构学习问题。即学习出最优网络结构,也就是各节点之间的依赖关系。主流的结构学习方法主要可以分为:
-
基于评分搜索的方法:利用搜索算法和评分函数,对每一个搜索到的网络结构进行评分,最终搜索出评分最高的网络结构。搜索算法的复杂度和精确度直接决定了学习算法的搜索效率,评分函数的优劣也直接决定了算法的计算复杂度和精确度。所以选择合理的优化搜索算法和评分函数是该类方法的核心问题。
该类方法容易陷入局部最优解而无法达到全局最优,并且结构空间的⼤⼩随节点的增加呈指数增加(空间复杂度)。
-
基于依赖统计分析的方法:分析变量间的依赖关系,在依赖性较大的两节点之间添加连接边,得到无向图。然后根据包含关系等方式确定无向图中边的方向,得到最终的有向无环图。本文要讨论的 PC 算法就是这类方法中(比较古老)的一种。
该类方法能获得全局最优解,但随着节点的增加,算法的时间复杂度会增加得很快;并且它不能区分同属于一个马尔可夫等价类的图,这一点后面会讲到。
-
-
参数学习:在给定网络结构时,确定网络参数,即参数估计问题:
-
不含隐变量:如果图模型中不含隐变量(latent variable),即所有变量都是可观测的,那么网络参数一般可以直接通过最大似然来进行估计。
-
含隐变量:有些时候 中的变量有很复杂的依赖关系,这时通常会引入隐变量 来简化模型。如果图模型中包含隐变量,即有部分变量是不可观测的,这时就需要用 EM 算法(Expectation Maximum,期望最大化算法)来进行参数估计。
如果 EM 算法中的后验是 intractable 的,那么又需要用变分推断(Variational Inference)来寻找一个简单分布来近似后验。
而在深度学习大行其道的今天,你可能会想到用神经网络去拟合这个后验不就完事儿了,是的这就是变分自编码器(Variational Auto-Encoder,VAE)的思想,去学它吧朋友。
本文不讨论参数学习问题,但我在我的笔记本上写了一些参数学习相关的东西,有兴趣的话可以看一看。
-
-
-
推断问题:在已知部分变量时,计算其他变量的条件概率分布
PC 算法
好的现在讲主题了,用 PC 算法1来学习出贝叶斯网络的结构。如上文所述,PC 算法会先确定节点间的依赖关系(但不确定方向),即先生成一个无向图,然后再确定依赖方向,把无向图扩展为完全部分有向无环图(Completed Partially Directed Acyclic Graph,CPDAG)。
依赖关系确立
设 是输入点集,有以下步骤:
- 在 上生成完全无向图
- 对于 中的两个相邻点 ,如果 和 能在给定节点 时条件独立,则删除 和 之间的边
这样会得到一个无向图,图中的无向边表示它连接的两个节点之间有依赖(因果)关系,这样的无向图叫骨架(skeleton)。PC 算法把上述过程转化为了 分隔(d-separation)2问题。
d 分隔
d 分隔的定义
节点集合 能 分隔节点 与节点 ,当且仅当:
给定 时, 与 之间不存在有效路径(active path),即 和 在 下条件独立(记作 )。
用 表示能够 分隔 和 的点集,用 表示图 中节点 的相邻点集,那么 PC 算法检验条件独立性的具体流程为3:

Estimating High-Dimensional Directed Acyclic Graphs with the PC-Algorithm. Markus Kalisch and Peter Buhlmann. JMLR 2007.
简单总结一下:
-
-
repeat
-
for 每个相邻点对
-
for 或 的所有可能的节点数为 的子集
-
测试 能否 分隔
-
如果能,说明 和 之间不存在有效的依赖关系,所以删除边 ,并将这个点集加入 和 ,break
-
-
-
-
-
until 当前图中的所有的邻接点集都小于
Fisher Z Test
为了判断 分隔,我们需要对任意两个节点进行条件独立性检验,PC 算法采用了 Fisher Z Test4 作为条件独立性检验方法。实际上 Fisher Z Test 是一种相关性检验方法,但 PC 算法认为这一堆随机变量整体上服从多元高斯分布,这时变量条件独立与变量之间的偏相关系数为 0 等价(多元高斯分布的基本特性,证明过程可以参考 Steffen L. Lauritzen 的课件5第 4.2.1 节),所以可以用 Fisher Z Test 进行条件独立性检验。
偏相关系数指校正其它变量后某一变量与另一变量的相关关系,校正的意思可以理解为假定其它变量都取值为均数。任意两个变量 的 阶(排除其他 个变量的影响后,)偏相关系数为:
为了判断 是否为 0,需要将 通过 Fisher Z 变换6转换成正态分布:
定义零假设和对立假设:
- 零假设:
- 对立假设:
然后给定一个显著性水平 ,那么(双侧)检验的规则为,如果有:
其中 为 的累积分布函数,则拒绝零假设, 关于 条件独立。所以将上面伪代码的第 11 行替换为 if 。
依赖关系方向确立
经过上一个阶段,我们得到了一个无向图。现在我们要利用 分隔的原理来确定图中边的依赖方向,把骨架扩展为 DAG。
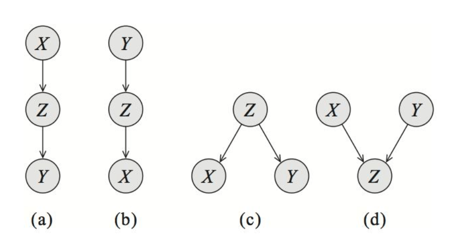
对于任意三个以有效依赖关系边相连的节点 ,其依赖关系必为下图的四种关系之一:

分隔的结论为:对于有向无环图 ,有两个节点 和一个点集 ,为了判断 和 是否关于 条件独立,考虑 中所有 和 之间的无向路径,对于其中一条路径,如果它满足以下两个条件中的任意一条,则称这条路径是阻塞的:
- 路径中存在某个节点 是 head-to-tial(图中情况 a, b)或 tail-to-tail 节点(图中情况 c),且 包含在 中
- 路径中存在某个节点 是 head-to-head 节点(图中情况 d),且 没有被包含在 中
如果 间所有的路径都是阻塞的,那么 关于 条件独立;否则, 不关于 条件独立。
而我们已经记录了 分隔 和 的点集 ,因此我们可以由 分隔的结论反推出贝叶斯网络中边的方向,方向的判断方法可以转换成以下三条规则:
- 规则 1:如果存在 ,把 变为
- 规则 2:如果存在 ,把 变为
- 规则 3: 如果存在 ,,且 不相邻,把 变为
实际上还可以推出一个规则 4:
- 规则 4:如果存在 和 ,且 不相邻,把 变为
但很显然这种情况是矛盾的,不可能存在,所以不用考虑。
总结一下:

Estimating High-Dimensional Directed Acyclic Graphs with the PC-Algorithm. Markus Kalisch and Peter Buhlmann. JMLR 2007.
这样我们就可以得到一个完全部分有向无环图。
马尔科夫等价类
很明显,完全部分有向无环图(CPDAG)跟有向无环图看上去就不一样。首先来看什么是部分有向无环图(Partially Directed Acyclic Graph,PDAG):
部分有向无环图
假设 是一个图,若边集 中包含有向边和无向边,且不存在有向环,则称 是一个部分有向无环图。
而完全部分有向无环图指:
完全部分有向无环图
假设 是一个部分有向无环图,若 中的有向边都是不可逆的,并且 中的无向边都是可逆的,则称 是一个完全部分有向无环图。
关于可逆和不可逆:
可逆 / 不可逆
对于有向无环图 中的任意有向边 ,如果存在图 与 等价,且 ,则称有向边 在 中是可逆的,否则是不可逆的。
同理,对任意无向边 ,若存在 、 均与 等价,且 、,则称无向边 在 中是可逆的,否则是不可逆的。
换句话说用 PC 算法得到的图是含有无向边的。这是因为依据 分隔确定的条件独立性所构造的网络 结构不具有唯一性,它们只是真实的贝叶斯网络的马尔科夫等价类(Markov Equivalence Class):
马尔科夫等价类
有向无环图 和 有相同的顶点集合和骨架, 为顶点集合, 和 为边的集合。
对于任意的不相交的顶点集合 ,如果满足 在 和 中都被 所 分隔(也叫有相同的 结构),则称图 和 是马尔科夫等价的。
举个栗子:

马尔科夫等价类
上图 和 是马尔科夫等价类,它们左上角的那条有向边方向并不相同,这时 PC 算法就无法判断这条边的方向了,只能输出无向边,即 。
所以,严格来说,PC 算法以及大多数基于依赖统计分析的贝叶斯网络结构学习算法,得到的都只是一个 CPDAG(依然有无向边),而不是真正意义上的贝叶斯网络(有向无环图)。
参考
Footnotes
-
An Algorithm for Fast Recovery of Sparse Causal Graphs. Peter Spirtes and Clark Glymour. Social Science Computer Review 1991. ↩
-
d-Separation: From Theorems to Algorithms. Dan Geiger, et al. UAI 1989. ↩
-
Estimating High-Dimensional Directed Acyclic Graphs with the PC-Algorithm. Markus Kalisch and Peter Buhlmann. JMLR 2007. ↩
-
Frequency Distribution of the Values of the Correlation Coefficient in Samples from an Indefinitely Large Population. R. A. Fisher. Biometrika 1915. ↩
-
Elements of Graphical Models. Steffen L. Lauritzen. 2011. ↩